
Research paper
>Publications > Research paper
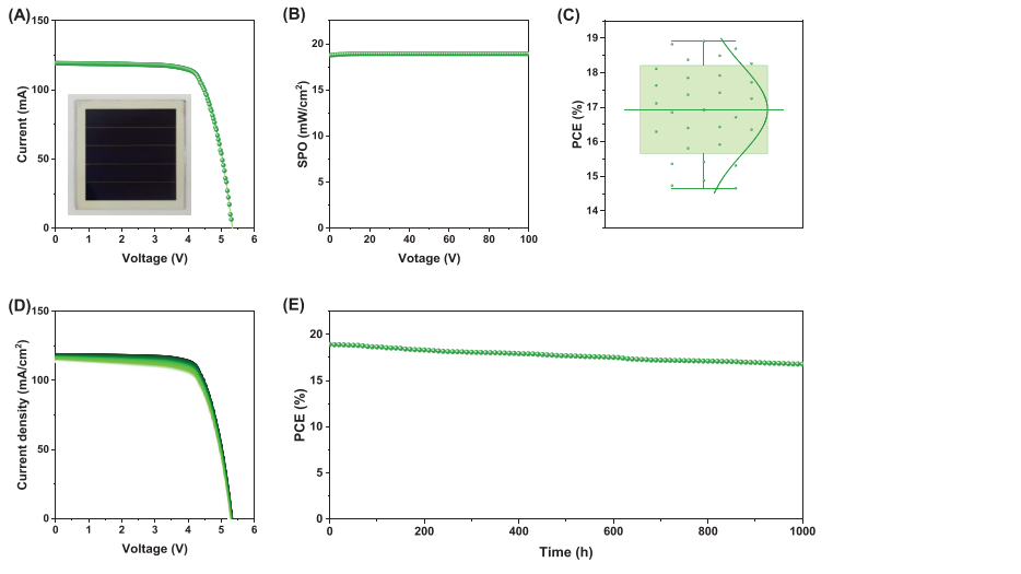
| 309 | Chemical oxidization of PTAA enables stable slot-die-coated perovskite solar modules 2D materials and additives: a dual approach to highperformance tin perovskite solar cells |
|---|
Jin Hyuck Heo, Seok Young Hong, Jin Kyoung Park, Hyong Joon Lee, Fei Zhang*, Sang Hyuk Im*
Joule (2025) : 9, 101850
Publication date (online) : 5 March 2025
SCI Impact Factor : 35.4

|
|||||||||||||||